
काठमाडौं ।
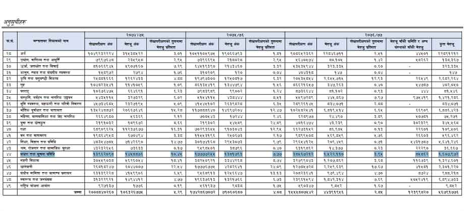
सञ्चार तथा सूचना प्रविधि मन्त्रालयले पछिल्लो वर्षहरुमा बेरुजु प्रतिशत रकम घटाउँदै लान सफल भएको देखिएको छ। महालेखापरीक्षकको कार्यालयले सार्वजनिक गरेको प्रतिवेदन तथ्यांकअनुसार लेखापरीक्षण रकमको तुलनामा सञ्चार मन्त्रालयको बेरुजु रकम पछिल्ला वर्षहरुमा क्रमशः घटिरहेको छ ।
बिगत ३ आर्थिक वर्षको तथ्यांक हेर्दा मन्त्रालयले लेखापरीक्षण रकमको आधारमा बेरुजु रकम घटाउन सफल भएको हो ।
प्रतिवेदनका अनुसार सञ्चार मन्त्रालयको आर्थिक वर्ष २०७४/७५ मा लेखापरीक्षणको तुलनामा बेरुजु रकम १०.४५ प्रतिशत रहेको थियो । सो आवमा मन्त्रालयको कुल रकम १३ अर्ब ९६ करोड २० लाख ९८ हजार रुपैयाँको लेखापरीक्षण गरिएको थियो ।
त्यसैगरि आर्थिक वर्ष २०७५/७६ मा सञ्चार मन्त्रालयको १७ अर्ब ७७ करोड ७२ लाख ५५ हजार रुपैयाँको लेखापरीक्षण भएकोमध्ये ७.७ प्रतिशत मात्र बेरुजु रहेको थियो ।
आर्थिक वर्ष २०७६/७७ मा मन्त्रालय अन्तरगतको ३८ अर्ब ५६ करोड २१ लाख २० हजार रुपैयाँको लेखापरीक्षण गरिएकोमा सो रकमको तुलनामा मन्त्रालयको बेरुजु ३.९५ प्रतिशत मात्र रहेको देखिन्छ।
तर सो आवमा प्रतिशतमा बेरुजु घटेको देखिएपनि रकममा भने वृद्धि भएको देखिन्छ।

यसैबिच सञ्चार तथा सूचना प्रविधि मन्त्रालयको बेरूजु रकम आर्थिक वर्ष २०७६/७७ को लेखापरीक्षण प्रतिवेदनअनुसार १ अर्ब ३८ करोड १८ लाख रूपैयाँ रहेको देखिएको छ । महालेखापरीक्षकको कार्यालयले शुक्रबार सार्वजनिक गरेको महालेखा परीक्षकको वार्षिक प्रतिवेदनमा सञ्चार तथा सूचना प्रविधि मन्त्रालयको बेरूजु रकम १ अर्ब ३८ करोड १८ लाख रूपैयाँ उल्लेख गरिएको छ।
सञ्चार तथा सूचना प्रविधि मन्त्रालयको बेरूजु रकम कुल बेरूजु रकमको १.९४ प्रतिशत रहेको छ ।
यो पनि हेर्नुस्-
दूरसञ्चार सेवा प्रदायकहरुलाई दिँदै आएको किस्ता सुबिधा कानून विपरीत भएको महालेखाको ठहर
प्रकाशित: ५ भाद्र २०७८, शनिबार